Conditional questions and restrictions
To have an overview of the topic conditional questions please refer the following link: https://onventis.atlassian.net/wiki/x/DACpW
With our scoring model for calculating correctly the Max Achievable Score, we have the following restrictions while configuring conditional questions.
Master question: It refers to the parent question which controls the visibility of other question. The master question can only be question types which have predefined options to choose from.
Allowed question types for Master questions:
Single choice questions
Yes/No (Boolean)
Radio button group
Dropdown
Multi choice question:
Checkbox
Conditional question: It refers to the question which is based on response of the parent question. There is no restriction to adding conditions to any question type.
To understand in detail the different question types that Onventis offers, please refer to this article: https://onventis.atlassian.net/wiki/x/FoDWW
We have disabled the ‘Logic’ tab inside our questionnaire editor tab.
Conditions can only be added in the ‘Designer’ tab via the following steps:
Step 1: Select the question, click on the side panel and navigate to the ‘Conditions’ tab. Click on the icon as shown below to configure the logic
Step 2: Configure the logic in the dialog that pops-up and click on 'Apply'

Step 3: The logic is added to the question

Condition: Condition refer to the type of logic or characteristic that needs to be configured such as making a question visible or required.
List of allowed conditions:
Visible if: It is the most common type of condition used while designing questionnaire. It is used to make a question visible based on the response of another question.
Required if: It is used to make a question mandatory to be answered by the respondent based on the response of another question. Generally, it is used together with 'visible if'
Example:

List of restricted conditions:
enableIf
resetValueIf
setValueIf
setValueExpression
defaultValueExpression
choicesVisibleIf
choicesEnableIf
What is a Panel?: Users can create a ‘Panel’ and add multiple questions inside that panel. The panel facilitates users to group similar questions belonging to a particular category such as sustainability, compliance, information security etc.
We will no longer allow conditions to be applied to Panels. However, there are the following alternative options available to serve the business case:
Instead of applying condition to a panel, you can simply copy and paste the condition to all questions inside that panel
Add the condition to 1st question inside the panel and for all other questions you can base your logic on the 1st question.
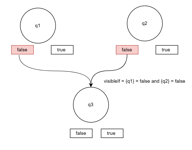
In scope of improving our questionnaire scoring model, we have added restriction to the number of master questions that a conditional question can have.
With our changes, one question can be dependent on only one master question. We do not allow and support configuring logic on one question, based on the response of multiple questions. On the other hand, one master question can have several dependent conditional questions.
To enforce this restriction, we have removed the option to use ‘and/or’ operator while configuring logic. Only one condition can be added to each question.
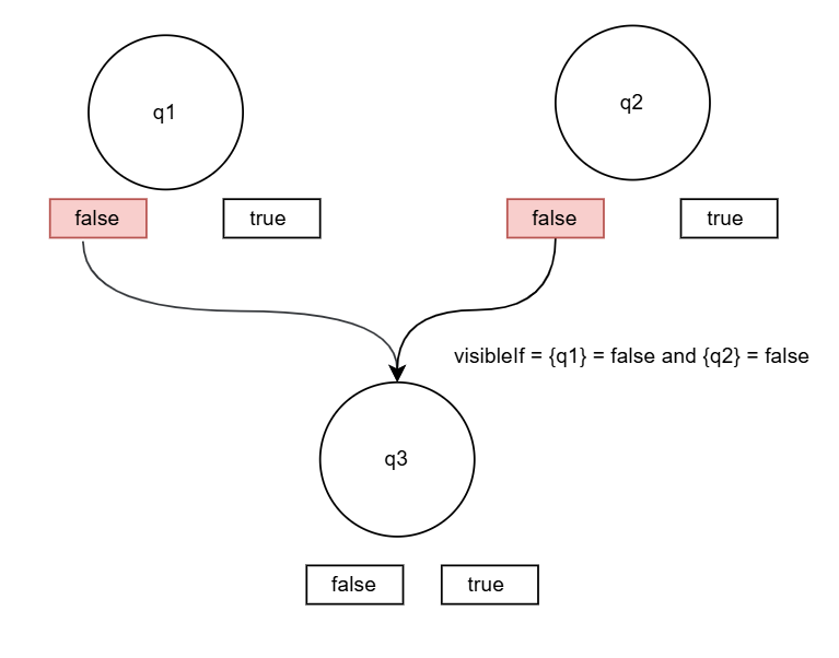
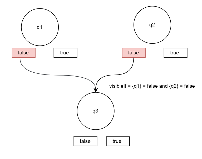
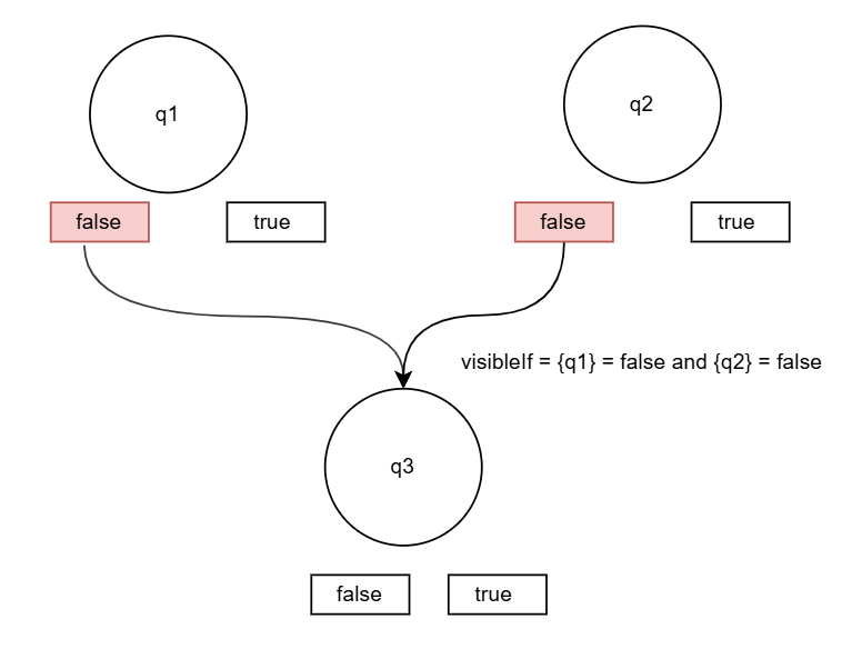
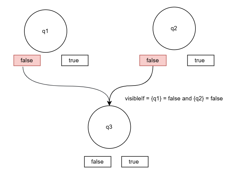
Example of unsupported condition: One question having dependency on two questions, i.e. two master questions.

Condition Type: Condition type refers to the scenario in which that particular condition will be applied. E.g. When the response is equal to, or any of the choices etc.
List of allowed Condition type: Equals, Any of, All of, Not empty.
List of allowed condition type based on the master question:
If the master question is Boolean (Yes/No): Not empty, Equal,
If the master question is Radio button group or Dropdown: Not empty, Equal, Any of,
If the master question is Dropdown: Not empty, Equal, Any of
If the master question is Checkbox: Not empty, Any of, All of
For more details and example of how and when to use different conditions type:
Allowed condition types if the master question is Yes/No (Boolean): Equals, Not empty
Equals: It is used to trigger a condition when a specific option is selected. As shown in the example below, Question 2 is visible only if Question 1 is answered ‘Yes’. If the answer to Question 1 is ‘No’, there is no point in asking the second question.


Not empty: It is used to trigger a condition when either of ‘Yes/No’ is responded. It does not matter which option the supplier selects, as long as the supplier responds to the master question, the conditional question will be displayed.


As mentioned earlier we have disabled adding multiple conditions to a question via ‘and/or’ operator.
We witnessed questionnaires using the logic shown in below example.
Instead of using ‘or’, users should use the ‘Not empty’ condition as shown above.
Allowed condition types if the master question is Radio button group or Dropdown: Equals, Any of, Not empty
Equals: It is used to trigger a condition when a specific option from the set of specified option is selected. As shown in the example below, Question 2 is visible only if Question 1 is answered with Choice 1. If the answer to Question 1 is not ‘Choice 1’, there is no point in asking the second question.


Any of: If a respondent has the options A, B, and C and a question should become visible or required, if either of A or B is selected in such case ‘Any of’ should be used.
As shown in the example below, Question 2 is visible only if Question 1 is answered with Choice 1 Choice 2, or Choice 3. If the answer to Question 1 is ‘No’, there is no point in asking the second question.


Not empty: It is used to trigger a condition when either of option is selected. It does not matter which option the supplier selects, as long as the supplier responds to the master question, the conditional question will be displayed.


Allowed condition types if the master question is Checkbox: Any of, All of, Not empty
Any of: If a respondent has the options A, B, and C and a question should become visible or required, if either of A or B is selected in such case ‘Any of’ should be used.
As shown in the example below, Question 2 is visible only if Question 1 is answered with Choice 1 Choice 2, or Choice 3. If the answer to Question 1 is ‘No’, there is no point in asking the second question.


Any of can also be used as an alternative to Equals for Checkbox questions:
If a checkbox question has several options, and if a specific option is selected another question should become visible, any of condition type can be used. In the below example, Question 2 should become visible only if Scope 1 is selected. Another question with a similar condition for Scope 2 can also be configured. If the supplier selects both Scope 1 and Scope 2, the supplier will see two separate questions to enter the emissions for that scope.


Not empty: It is used to trigger a condition when either of option is selected. It does not matter which option the supplier selects, as long as the supplier responds to the master question, the conditional question will be displayed.


All of: If a question should become visible if all of the options are selected, then condition type ‘All of’ should be used. It is not common to configure this condition type for practical purposes.
We have disabled the manual input of condition in the questionnaire designer. However, you can copy and paste the conditions if needed.
Conditions can only be added in the ‘Designer’ tab via the following steps:
Step 1: Select the question, click on the side panel and navigate to the ‘Conditions’ tab. Click on the icon as shown below to configure the logic
Step 2: Configure the logic in the dialog that pops-up and click on 'Apply'

Step 3: The logic is added to the question

As mentioned earlier, with our changes, one conditional question can be dependent on only one master question. We do not allow and support configuring logic on one question, based on the response of multiple questions.
On the other hand, one master question can have several dependent conditional questions.
Example of cases we support:



